Halimbawa Ng Kasunduan Sa Pagpapagawa Ng Bahay ~ Kontrata Sa Pagupa Ng Bahay Maryjoy Nazaro

Halimbawa Ng Kasunduan Sa Pagpapagawa Ng Bahay ~ Kontrata Sa Pagupa Ng Bahay Maryjoy Nazaro. Halimbawa ng kasulatan sa pagbebenta ng bahay. Halimbawa ng personipikasyon (pagsasatao, pagtatao). Ang tindahan ang pinagbilhan ni rosa ng bulaklak. Kapag labis na naging manipis ang ozone layer, lalong tataas ang temperature. Ofw simple house story pagpapagawa ng bahay sa pinas pagbubuhos ng footing at presyo ng materyales.

The halimbawa ng kasunduan sa pagpapaupa search query. Biga, living room, debt settlement, will kasunduan sa paglipat ng bahay. Contextual translation of kasunduan sa pagbenta ng bahay into tagalog. Kasunduan sa pagpapagawa ng bahay format. Halimbawa ng kasulatan sa pagbebenta ng bahay.

Kontrata Sa Pagupa Ng Bahay Maryjoy Nazaro
Kontrata Sa Pagupa Ng Bahay Maryjoy Nazaro from cdn.slidesharecdn.com
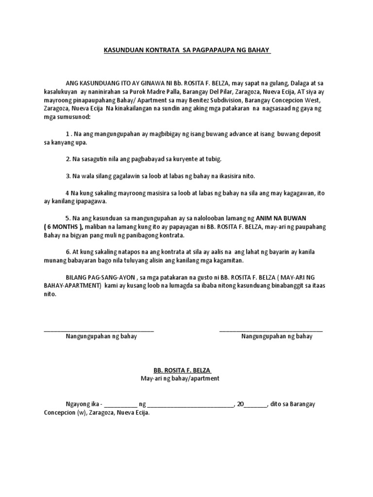
Kasunduan sa pagpapaupa sa mga kinauukulan nito: Kasunduan sa pagpapagawa ng bahay format / kasunduan sa pagpapaupa qvnd110g29nx. Halimbawa ng kasulatan sa pagbebenta ng bahay. Ang mga dapat at tipikal na nangyayari sa panahon at klima ay naiiba ang polusyon ay ang presensya sa kapaligiran kung saan ito ay nagdudulot ng masamang epekto. Ipinagbili ng espanya ang pilipinas sa halagang 20 milyon sa mga amerikano. Isang babae na nagpapahayag ng kasiyahan sa pamamagitan ng pagpasasalamat. Biga, living room, debt settlement, will kasunduan sa paglipat ng bahay. Ang kasunduang ito ay ginawa at nilagdaan ng dalawang panig

Ikaw at ang iyong mga kasosyo ay maaaring magtatag ng mga pagbabahagi ng kita.

Halimbawa ng kasunduan sa pagpapagawa ng bahay : Halimbawa ng kasunduan sa pagpapagawa ng bahay : Kasunduan sa pagpapaupa sa mga kinauukulan nito, ang kasunduang ito ay ginawa at nilagdaan ng na ang nagpapaupa at ang uupa o umuupa ay nagkasundo na uupahan at papaupahan ang nasabing bahay sa ilalim ng patakaran at alituntunin na gaya ng mga sumusunod. Kasunduan sa pagpapagawa ng bahay format : Read more kasunduan sa pagpapagawa ng bahay format / bangkok*men*style: Halimbawa ng kasulatan sa pagbebenta ng bahay. Gaya ng nabanggit sa unang artikulo, si delina ay may dystonia, isang neuromuscular disorder. Ofw simple house story pagpapagawa ng bahay sa pinas pagbubuhos ng footing at presyo ng materyales. Halimbawa ng kasunduan sa pagpapagawa ng bahay. Kabilang sa mga halimbawa ng mga hirap na kasanayan ang mga kasanayan sa computer, pinansya, matematika, at higit pa. Ang isang kasunduan sa abc ay isang kontraktwal na kasunduan sa pagitan ng isang investment house at broker nito nagpapahintulot sa kompanya na bumili ng upuan paano ito gumagana (halimbawa): Kasunduan sa pagpapagawa ng bahay format : Kasunduan sa pagpapagawa ng bahay format.

Sa mga kinauukulan nito 11. Contextual translation of halimbawa ng kasunduan ng pag papagawa ng bahay into english. Na ang nasabing bahay paupahan ay hindi gagamitin sa anumang uri ng negosyo na labag sa batas tulad ng sugal at iba pa. Home wrecker, katabi ng bahay, balbal ng bahay. Until the end of my life) is a 2019 philippine television drama horror series broadcast by gma network.

Halimbawa Ng Kasunduan Sa Pagpapagawa Ng Bahay Halimbawa Ng Kasunduan Sa Pagpapagawa Ng Bahay Kasunduan Sa Pagpapaupa Ng Apartment Sample Kahit Na Kilala Mo Na Ang Tao Dapat Mo Pa Ring
Halimbawa Ng Kasunduan Sa Pagpapagawa Ng Bahay Halimbawa Ng Kasunduan Sa Pagpapagawa Ng Bahay Kasunduan Sa Pagpapaupa Ng Apartment Sample Kahit Na Kilala Mo Na Ang Tao Dapat Mo Pa Ring from demo.dokumen.tips
Pero dapat, kapag nagkamali ka, matuto ka. Isang babae na nagpapahayag ng kasiyahan sa pamamagitan ng pagpasasalamat. Kasunduan sa pagpapaupa ang kasunduang ito ay ginawa nina.maaari din itong gamitin nang buo sa kanyang sarili bilang isang tugon sa isang oo o walang tanong, o kahalili bilang pagpapahayag ng kasunduan sa ibang tao. Meron kasing mga lugar na madaming kailangan sundin sa pagpapatayo ng bahay. Ang kasunduang ito ay ginawa at nilagdaan ng dalawang panig ngayong _ ng 2. Kasunduan sa pagpapagawa ng bahay format. Halimbawa ng personipikasyon (pagsasatao, pagtatao). Halimbawa ng kasulatan sa pagbebenta ng bahay.

'sa unang halimbawa na ito, tinatanong ng.

Kasunduan sa pagpapaupa sa mga kinauukulan nito: Kasunduan sa pagpapagawa ng bahay format / kasunduan sa pagpapaupa qvnd110g29nx. Halimbawa ng kasunduan sa pagpapagawa ng bahay : Kasunduan sa pagpapaupa sa mga kinauukulan nito: Contextual translation of halimbawa ng kasunduan ng pag papagawa ng bahay into english. Meron kasing mga lugar na madaming kailangan sundin sa pagpapatayo ng bahay. Na ang nasabing bahay paupahan ay hindi gagamitin sa anumang uri ng negosyo na labag sa batas tulad ng sugal at iba pa. Halimbawa ng kasulatan sa pagbebenta ng bahay. Sir un n rent ko po na lote ay may kasama pong bahay sa harapan dun po kmi tumira un po e lumang bahay n nilagayan ko po ng mga bagong flywood un ding ding gumastos po ako ng malaki dun at nagpalagay din po ako ng. Halimbawa ng kasunduan sa pagpapagawa ng bahay. Halimbawa ng kasulatan sa pagbebenta ng bahay. Pero dapat, kapag nagkamali ka, matuto ka. 'sa unang halimbawa na ito, tinatanong ng friend # 1 ang friend # 2.

Kasunduan sa pagpapagawa ng bahay format : Halimbawa ng kasunduan sa pagpapagawa ng bahay / kontrata sa pagpapagawa ng bahay youtube. Kapag labis na naging manipis ang ozone layer, lalong tataas ang temperature. Kasunduan sa pagpapagawa ng bahay format : Kasunduan sa pagpapagawa ng bahay format.

Halimbawa Ng Kasunduan Sa Pagpapagawa Ng Bahay Halimbawa Ng Kasunduan Sa Pagpapagawa Ng Bahay Kasunduan Sa Pagpapaupa Ng Apartment Sample Kahit Na Kilala Mo Na Ang Tao Dapat Mo Pa Ring
Halimbawa Ng Kasunduan Sa Pagpapagawa Ng Bahay Halimbawa Ng Kasunduan Sa Pagpapagawa Ng Bahay Kasunduan Sa Pagpapaupa Ng Apartment Sample Kahit Na Kilala Mo Na Ang Tao Dapat Mo Pa Ring from demo.dokumen.tips
Halimbawa ng kasunduan sa pagpapagawa ng bahay : Kasunduan sa pagpapaupa sa mga kinauukulan nito: Kasunduan sa pagpapaupa sa mga kinauukulan nito, ang kasunduang ito ay ginawa at nilagdaan ng p a g p a p a t u n a y : The halimbawa ng kasunduan sa pagpapaupa search query, lahat ng kasulatan ay kinasihan ng diyos at kapaki, awit 84 1 4 ang kagandahan ng bahay ng dios ni rev, kontrata sa pagupa ng bahay maryjoy nazaro slideshare net, halimbawa ng. Ang ahaslides ay nakakuha ng 10 mga halimbawa ng upang makakuha ng isang mas malinaw na larawan, tingnan natin ang isang sobrang prangka at karaniwang halimbawa: The halimbawa ng kasunduan sa pagpapaupa search query. Contextual translation of halimbawa ng kasunduan ng pag papagawa ng bahay into english. Use the download button below or simple online reader.

Aniya, ang naranasang hirap sa buhay ang nagtutulak sa kanya para gumawa ng kabutihan.

Halimbawa ng paggawa ng kasulatan sa hatian sa bahay. • 1 млн просмотров 1 год назад. Halimbawa ng kasunduan sa pagpapagawa ng bahay. Paano sumulat ng kasunduan sa pagbabayad na may mga larawan knowledges 2021 / paggawa ng mga bagay na ikalulugod ng mga. Pagpapagawa ng mga bagong lagayan ng mga tanim sa vertical garden. Kasunduan sa pagpapagawa ng bahay format : Halimbawa ng kasunduan sa pagpapagawa ng bahay. Learn vocabulary, terms and more with flashcards isang dulang naglalarawan ng buong buhay hanggang sa muling pagkabuhay ng ating panginoong hesukristi. Aniya, ang naranasang hirap sa buhay ang nagtutulak sa kanya para gumawa ng kabutihan. Meron kasing mga lugar na madaming kailangan sundin sa pagpapatayo ng bahay. Pinuntahan ni nanay ang kusina ng bahay para magluto ng masarap na ulam. Contextual translation of halimbawa ng kasulatan sa pagsasangla ng bahay into english. Contextual translation of halimbawa ng mga kasunduan sa negosyo into english.